قیمت جدید انواع تراکتور در بهار 1405
قیمت انواع تراکتور در تابستان 1403
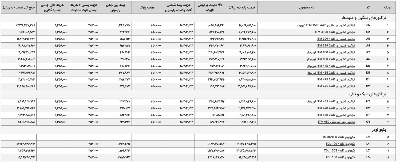
لیست قیمت انواع تراکتور تبریز در بهار 1403
قیمت جدید انواع تراکتور در زمستان 1402
آغاز پیش فروش تراکتور برای کشاورزان
مهر 1402: ناصر قربانیان، معاون بازاریابی و فروش گروه صنعتی تراکتورسازی ایران، اعلام کرد به مناسبت میلاد با سعادت پیامبر اکرم( ص ) و امام جعفر صادق( ع ) و هفته وحدت، از 11 مهرماه پیش فروش مهرماه تراکتور برای کشاورزان سراسر کشور آغاز شد. در این مرحله تعداد مشخصی از انواع تولیدات تراکتورسازی به کشاورزان، واحدهای تولیدی صنایع کشاورزی و مجموعه های که نیاز به تولیدات تراکتورسازی داشته باشند عرضه می شود.
وی با تاکید بر محدود بودن ظرفیت و منتفی شدن ثبت نام با تکمیل ظرفیت گفت در زمان آماده تحویل شدن محصول، دعوتنامه جهت واریز باقیمانده بها صادر و برای ادامه روند، خریدار می باید مبلغ مذکور را پرداخت کند. در این مرحله از فروش با همکاری وزارت جهادکشاورزی ضریب، مکانیزاسیون استان ها استحصال و براساس میزان این ضرایب سهمیه استانی برای عرضه تراکتور در نظر گرفته شده است. باتوجه به اینکه ضریب مکانیزاسیون در برخی از استان ها از نسبت بالایی برخوردار است و در تعدادی نیز مکانیزاسیون کشاورزی وضعیت مناسبی ندارد، برای توازن بخشی به ضریب مکانیزاسیون کشور و توزیع عادلانه تراکتور به عنوان اصلی ترین وسیله کشاورزی و در نتیجه افزایش بهره وری در بخش کشاورزی کشور، در این مرحله از عرضه تراکتور تخصیص و سهمیه بندی استانی در برنامه کاری قرار گرفته است.
ملاک و معیار برای امتیاز دهی به متقاضیان برای قرارگیری در اولویت واگذاری، مواردی نظیر سطح زمینهای زیر کشت( زراعی، باغی)، نوع کشت( دیمی یا آبی)، نوع فعالیت، دامداری، دامپروری است. عدم خریداری تراکتور در ۱۰ سال گذشته یکی از ملاک ها با بالاترین امتیاز برای صدرنشینی در اولویت بندی است. عرضه ادوات به کشاورزان در این مرحله نیز وجود دارد چرا که این اصل ما را در تشخیص کشاورز واقعی و مصرف کننده نهایی بودن متقاضی یاری می دهد اما به هیچ عنوان اجباری در واگذاری ادوات وجود ندارد.
سامانه فروش گروه صنعتی تراکتورسازی ایران به آدرس https://sale.itmco.ir/login تا ۲۷ مهر برای ثبت نام کشاورزان متقاضی تراکتور در دسترس خواهد بود.
قیمت جدید تراکتور در بهار 1402
قیمت انواع تراکتور تبریز در زمستان 1401
وام 300 میلیونی برای خرید تراکتور
شهریور 1401: امید قالیباف، سخنگوی وزارت صمت، اعلام کرد که تعداد 3000 تسهیلات 300 میلیون تومانی کمبهره برای خرید تراکتور ایجاد شده است. سود این تسهیلات چهار درصد و مدت بازپرداخت هفت ساله است. بر اساس توافقنامهای که هفته آینده به امضا خواهد رسید، سقف 1000 میلیارد تومانی برای این تسهیلات در نظر گرفته میشود. این تسهیلات توسط یکی از بانکها پرداخت خواهد شد.
آقای قالیباف گفت بازار آزاد تراکتور در حال حذف شدن است؛ زیرا افزایش تولید، اختلاف قیمت کارخانه و بازار را به شدت کاهش داده است؛ به طوری که تراکتور 399 که در فروردینماه امسال در بازار آزاد 750 میلیون تومان قیمت داشت، اکنون به 640 میلیون تومان رسیده است (که نسبت به قیمت 500 میلیون تومانی کارخانه بالاتر است) و در برخی مدل ها حتی رشد منفی قیمت هم دیده میشود.
افزایش تولید تراکتور در 6 ماهه 1401
شهریور 1401: امید قالیباف، سخنگوی وزارت صمت، اعلام کرد که تولید تراکتور در شش ماهه اول 1401 نسبت به مدت مشابه سال گذشته، 50 درصد رشد داشته و از 9750 دستگاه به 14625 دستگاه تراکتور رسیده است. در همین مدت، صادرات تراکتور نیز 89 درصد رشد کرده است. در نیمه اول امسال 943 دستگاه تراکتور صادر شده که طبق هدفگذاریهای انجام شده تا پایان سال به 4600 دستگاه خواهد رسید.
نیاز سالانه تراکتور 20 هزار دستگاه برآورد شده که بیش از این نیاز، برابر 35 هزار دستگاه تراکتور در سال 1401 تولید خواهد شد؛ این رشد تولید علاوه بر آنکه سبب حذف تقاضای سرمایهای و بازار آزاد خواهد شد، عامل افزایش صادرات نیز خواهد بود.
افزایش قیمت تراکتور در سال 1401
شرکت تراکتورسازی ایران، در تاریخ 9 خردادماه سال جاری، خبر داده بود که قیمت انواع تراکتور را بصورت میانگین 20% افزایش داده. بر همین اساس، قیمت جدید تراکتورسازی تبریز از تاریخ 12 خردادماه 1401 تا اطلاع ثانوی، به شرح زیر اعلام شده است:

محصولات تراکتورسازی تبریز، در سه گروه تراکتورهای سبک و باغی، تراکتورهای متوسط و سنگین و همچنین لودرهای بکهو عرضه میشوند. قیمت انواع محصولات تراکتورسازی ایران را از لینک زیر دریافت کنید:
شرایط فروش کامیون یوجین
شرکت خودروسازان دیزلی آذربایجان، وابسته به گروه تراکتورسازی ایران، از تاریخ 4 اسفند لغایت 27 اسفند 1400 یا تا زمان تکمیل ظرفیت فروش خودرو، فروش نقدی شاسی کامیون یوجین را با آغاز کرده است. در این شرایط فروش، کامیونها با موعد 40 روزه تحویل داده میشوند. ضمن اینکه قیمت نهایی خودرو براساس نوع کاربری انتخاب شده توسط مشتری (در زمان امضای قرارداد) مشخص خواهد شد.
پیش فروش تراکتور با تحویل 7 ماهه
به مناسبت فرارسیدن عید مبعث، پیش فروش تراکتورسازی ایران از تاریخ 5 اسفندماه شروع شده و تا زمان تکمیل ظرفیت فروش یا تا تاریخ 19 اسفندماه 1400 نیز ادامه خواهد داشت. در این پیش فروش، قیمت محصولات در زمان تحویل تراکتور مشخص خواهد شد. ضمن اینکه محدودیت کد ملی نیز وجود داشته و انتقال امتیاز فروش تراکتور یا واگذاری حواله تراکتور به غیر، ممنوع است.
»» پیش فروش تراکتورسازی ایران - ویژه اسفند (PDF) ««
خریداران جهت کسب اطلاعات بیشتر و ثبت نام تراکتور، باید به نمایندگیهای این شرکت، مراجعه کنند.
قیمت تراکتورسازی ایران - نیمه دوم 1400
براساس مکاتبات شرکت تراکتورسازی ایران با ناشران بورس، در تاریخ 29 آبانماه 1400، قیمت جدید محصولات این شرکت به تصویب هیئت مدیره رسیده است. آنطور که معاون مالی تراکتورسازی ایران خبر داده، محصولات این شرکت، بصورت میانگین 35% گرانتر از قبل شدهاند. لیست قیمت انواع تراکتور تبریز، از تاریخ 22 دیماه 1400، بصورت عمومی منتشر شده و در دسترس قرار گرفته است:
قیمت تراکتور تبریز - نیمه اول 1400
شرکت تراکتورسازی ایران از تاریخ 22 فروردینماه 1400، لیست قیمت انواع محصولاتش را منتشر کرده که در مقایسه با سال 1399 رشد 25 درصدی را نشان میدهد. در جدول زیر، قیمت مصوب انواع محصولات تراکتورسازی ایران را در سال 1400 مشاهده میکنید.
| مدل تراکتور (ITM) | قیمت |
|---|---|
| باغی کمرشکن 950 | 115.5 |
| کشاورزی 470 تک محور | 121.8 |
| کشاورزی 470 دو محور | 164.8 |
| کشاورزی 475 تک محور | 170.5 |
| کشاورزی 475 دو محور | 218.2 |
| کشاورزی 485 تک محور توربو | 185.9 |
| کشاورزی 485 دو محور توربو | 233.3 |
| کشاورزی 800 تک محور توربو | 195.2 |
| کشاورزی 800 دو محور توربو | 247 |
| کشاورزی 399 تک محور | 237.8 |
| کشاورزی 399 دو محور | 309.2 |
| کشاورزی سنگین 1500 توربو | 801.8 |
*در جدول فوق، قیمتها برحسب میلیون تومان است.
قیمت تراکتور تبریز در سال 1399
در جدول زیر، قیمت مصوب انواع محصولات تراکتورسازی ایران را در سال 1399 مشاهده میکنید.
| مدل تراکتور (ITM) | قیمت |
|---|---|
| باغی 950 | 88.8 |
| کشاورزی 470 تک محور | 93.6 |
| کشاورزی 470 دو محور | 126.7 |
| کشاورزی 475 تک محور | 131 |
| کشاورزی 475 دو محور | 167.8 |
| کشاورزی 485 تک محور توربو | 142.9 |
| کشاورزی 485 دو محور توربو | 179.4 |
| کشاورزی 800 تک محور توربو | 150.1 |
| کشاورزی 800 دو محور توربو | 189.9 |
| کشاورزی 399 تک محور | 182.9 |
| کشاورزی 399 دو محور | 237.8 |
| کشاورزی سنگین 1500 توربو | 616.4 |
*در جدول فوق، قیمتها برحسب میلیون تومان است.
معرفی شرکت تراکتورسازی تبریز
شرکت تراکتورسازی ایران در سال 1347 و با مشارکت کشور رومانی، تاسیس شد. سپس از سال 1348 نیز تولید تراکتورهای رومانی با برند UTB را شروع کرد که تنها به مدت 6 سال ادامه یافت.
از سال 1354 تولید تراکتورهای MF با مشارکت شرکت مسی فرگوسن (انگلستان) در شرکت تراکتورسازی ایران آغاز شد و به مرور زمان نیز با داخلیسازی تراکتورهای فرگوسن، این شرکت محصولات ساخت خودش را برند اختصاصی ITM به بازار ایران فرستاد.

شرکت تراکتورسازی ایران در سال 1387 به بخش خصوصی واگذار شد و متاسفانه بعد از آن تاریخ، دچار سومدیریت و مشکلات اقتصادی فراوانی شد. هم اکنون نیز ظرفیت تولید سالیانه این شرکت معادل 30 هزار دستگاه انواع تراکتور است.
تراکتورهای این شرکت، در محدوده قدرتی 38 تا 150 اسب بخار عرضه شدهاند و کاربرد باغی و کشاوری دارند و در چهار کلاس وزنی مختلف (سبک، متوسط، نیمهسنگین و سنگین) قابل خریداری هستند.
شرکت تراکتورسازی ایران، درحال حاضر بیش از 95% بازار ایران را در اختیار داشته و حتی در بازار خاورمیانه نیز بعنوان بزرگترین تراکتورساز منطقه، شناخته میشود. شرکتهای تراکتورسازی ارومیه و تراکتورسازی کردستان نیز از زیرمجموعههای تراکتورسازی ایران هستند.
نویسنده : مرتضی برجسته






